English

综合新闻

综合新闻

当前位置: 首页 > 综合新闻
喜报!全省高校参评,我校81名同学荣获优秀!
发布时间:[2024-08-02] 作者:[] 来源:[ ] 访问:[]

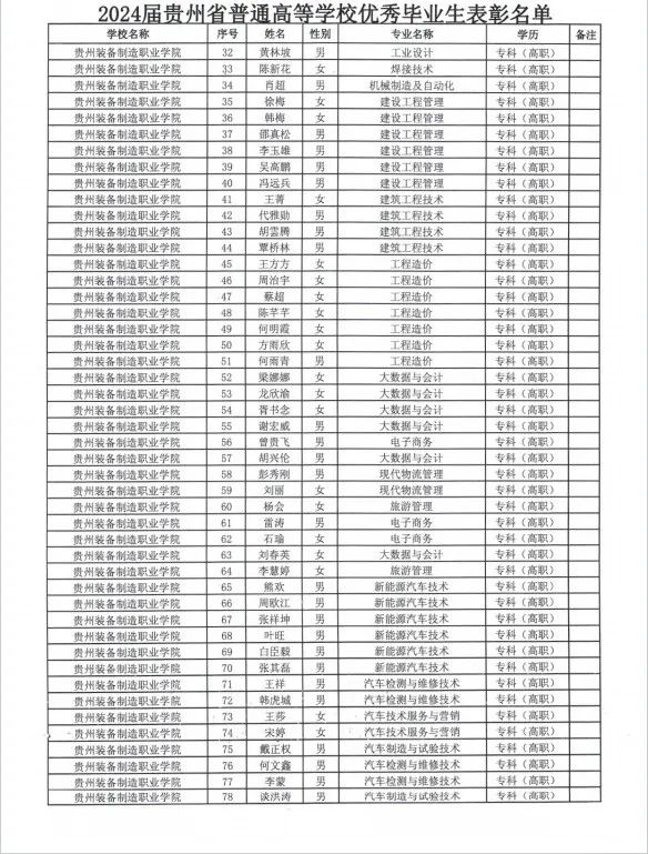
据省教育厅关于2024届贵州省普通高等学校优秀毕业生评审结果的通报,全省共有5079名学生获得2024届贵州省普通高等学校优秀毕业生通报表扬,我校有81名同学获此项殊荣(名单如下)。

图片

图片

图片

图片

图片

本次评选的优秀毕业生是全省普通高等学校2024届毕业生中的优秀代表,他们集中体现了新时代大学生积极、健康、向上的精神风貌。希望在校学生以获得通报表扬的同学为榜样,明确学习目标、积极践行社会主义核心价值观,不负韶华,努力成为德智体美劳全面发展的社会主义合格建设者和接班人。